Chapter VI: Solution Purification by Solvent Extraction (SX)
3. The Chemistry of Solvent Extraction
The only common copper solvent extraction reagents in use today are the aromatic hydroxy oximes. There are two main suppliers at this writing. BASF (was Cognis until recently) market their extractants under the trade name Lix. The other main supplier is Avecia Inc., formerly Zeneca. Some of their reagents go by the trade name Acorga. The basic structures associated with the aromatic hydroxy oximes are shown in Figure 3.1. The phenolic proton (as indicated in the figure) is acidic. The oxime can coordinate to a metal ion via both the phenolic oxygen and the oxime nitrogen. Table 3.1 lists some of the more common commercial oxime copper SX reagents.

| Table 3.1 - Commercial aromatic hydroxy oxime SX reagents. A and R groups correspond to the structure in Figure 3.1. |
|||
|---|---|---|---|
| A | R | Name | Manufacturer |
| CH3 | C9H19 | 5-nonyl-2-hydroxyacetophenone oxime | Cognis, Avecia |
| H | C9H19 | 5-nonylsalicyaldoxime | Cognis, Avecia |
| H | C12H25 | 5-dodecylsalicylaldoxime | Cognis |
| C6H5 | C9H19 | 5-nonyl-2-hydroxybenzophenone oxime | Cognis* |
| C6H5 | C12H25 | 5-dodecyl-2-hydroxybenzophenone oxime | Cognis* |
*These were some of the earliest aromatic hydroxy oxime reagents. Cognis no
longer manufactures it.
When A = alkyl or phenyl groups, the reagents are classified as ketoximes. When A = H, the reagents are called aldoximes. There are actually very few commercial oxime reagents for copper SX from acidic leach solutions. Cognis, for instance, manufactures only three. Differing combinations of these along with other organic chemicals called modifiers (more on this later) result in a large number of formulations that can be applied to a range of PLS solutions. R = C9H19 is used for lower ambient temperature conditions to lessen viscosity-related problems.
The hydroxy oxime reagents can be abbreviated as RH, where the H is understood to be an acidic proton. All the reagents combine with copper in a 2:1 stoichiometry to form stable complexes, as indicated in reaction (2):
\[\ce{2RH_{\text{org}} + Cu^{2+}_{\text{aq}} <=> CuR_2_{\text{org}} + 2H^+_{\text{aq}}} \tag{2}\]
Note three important things about reaction (2):
- The reaction transfers metal ion from the aqueous phase into the organic phase (termed loading).
- The reaction releases acid into the aqueous phase.
- The reaction is reversible (the equilibrium constant is not excessively high).
What sets copper SX apart is that Cu+2 forms more stable complexes with many ligands than do most other M+2 cations. To illustrate, the order of the magnitude of the cumulative stability constants for the reaction,
\[\ce{M^{2+}_{(aq)} + 6NH3_{(aq)} = [M(NH3)6]^{2+}} \]
is Mn+2 < Fe+2 < Co+2 < Ni+2 < Cu+2 > Zn+2 [1]. And this is true for many other ligands as well (though not all).
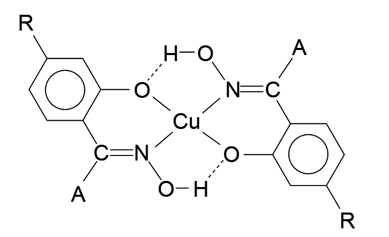
Reaction (2) is the extraction reaction. It is the basis for transfer of copper into the organic phase from the aqueous PLS. The structure of the copper oxime complex is illustrated in Figure 3.2. Two extractant molecules are required per Cu+2, i.e. 2 moles of RH per mole Cu+2. This is true for other divalent metal ions as well. Note that the phenolic hydrogen atom is now missing (split off as H+). Also note that the oximes are arranged so that the oxime group (C=N-OH) hydrogen atom is involved in a moderate-strength bonding interaction with the phenolic oxygen atom. (Hydrogen bonding is common with oxygen atoms.) This confers substantial additional stability to the complex and contributes to the extractant’s affinity for metal ions.

The R groups are straight, long hydrocarbon chains (Table 1). Their purpose is to make the extractant and the complex very hydrophobic. This helps to lower the solubility of the extractant and the complex in water, while enhancing the solubilities in the organic solvent. The organic solvent, as mentioned earlier, is immiscible with the aqueous phase, meaning that the two do not appreciably dissolve in each other. This allows for easy separation of the phases. If the extractant, complex or solvent had significant solubility in the aqueous solutions then these costly organic materials would be lost from the process (e.g. into the raffinate).
Based on reaction (2) and Le Chatelier's principle a number of factors can be seen to influence the extent of extraction (reaction proceeding to the right):
- PLS [Cu+2]. The higher this is, the greater the extent of copper extraction.
- Extractant concentration. The higher [RH], the more copper that will be extracted.
- PLS pH. The lower the pH, the less favourable is the extraction reaction. Typical copper PLS solutions have a pH of 1-2. Also, the SO42-/HSO4- system buffers at pH 1.9. Sometimes leach solutions contain moderate levels of MgSO4 and Al2(SO4)3. The buffering action of high sulfate levels can enhance copper extraction by keeping the pH near 1.9 [2].
- Organic solution copper concentration. The higher this is, the less copper the reagent can take up. (This is important because when copper is stripped off the reagent by the lean electrolyte not all of it is removed. Some remains bound to the reagent.)
- The nature of the extractant. Different oximes, combinations of oximes and combinations of oximes plus other organic chemicals (modifiers) have differing affinities for copper. The aldoximes are very strong extractants for copper. The ketoximes are moderately strong.
In order for the SX process to be successful it is essential that the copper loaded into the organic phase be able to be removed by a solution amenable to copper metal recovery. As can be seen from reaction (2) the reaction can be reversed by contacting the loaded organic with a sufficiently acidic aqueous solution. If the solution is acidic enough, then it may even contain a substantial copper concentration and still allow transfer of copper from the organic to the aqueous. Fortunately copper electrowinning can be conducted efficiently with solutions that contain quite high concentrations of sulfuric acid (Figure 1.1), and this is suitable for the stripping reaction. (Prior to the introduction of solvent extraction in 1968, acid concentrations in copper electrowinning processes were lower [3], but copper EW tolerates the necessary, somewhat higher acid concentrations quite well.) The stripping reaction then is just the reverse of reaction (2):
\[\ce{CuR2_{(org)} + 2H+_{(aq)} <=> 2RH_{(org)} + Cu^{2+}_{(aq)}} \tag{3}\]
The equilibrium is displaced toward regeneration of the protonated reagent and transfer of copper back into an aqueous phase (now the aqueous copper electrolyte solution). Hence, if a reagent were to extract copper very, very strongly, it could not be stripped with solutions suitable for EW; the acid concentration would have to be too high for it to be usable in EW.
The equilibrium constant expression for extraction, based on reaction (2) is:
\[\ce{K = \frac{[R2Cu][H+]^2}{[Cu^{2+}][RH]^2}} \tag{4}\]
Activities should be used more properly, but concentrations give an approximate indication of the equilibrium. An important measure of the extent of extraction is the distribution coefficient:
\[\ce{D_{Cu} = [R2Cu] = \frac{[Cu]_{org}}{[Cu^{2+}][Cu]_{aq}}} \tag{5}\]
Here it is the ratio of metal ion concentration in the organic phase to that in the aqueous phase after extraction, i.e. at equilibrium (in the limit of enough time to attain equilibrium). More generally, it can refer to the distribution of any metal ion between two phases. D is a measure of how strongly the metal ion is extracted. Note that D is not a constant! Its value varies with conditions.
Modifiers
In general in SX a modifier is an organic chemical added to the extractant solution, mainly in order to change its extraction properties. Modifiers are long or branched chain hydrocarbons with polar end groups. Some common examples are alcohols (e.g. tridecanol), p-nonylphenol and branched hydrocarbon chain esters. The polar end groups can associate more or less strongly with the extractant (e.g. through hydrogen bonding and electrostatic interactions). When the extractant solution is then presented with an aqueous metal ion solution, the modifier competes with the metal ion for the extractant. Hence the extractant’s affinity for the metal ion is somewhat attenuated, or diminished. The higher the concentration of the modifier, the greater the effect.
This can be quite useful in some situations. For example, the aldoximes tend to be such strong extractants for copper that they are difficult to strip with conventional EW electrolytes. Addition of a modifier can lower the extraction strength and make the reagent of practical use [4]. Many of the Acorga (manufactured by Avecia) oxime reagents employ modifiers such as p-nonylphenol and tridecanol. Some Cognis extractants employ a branched chain ester modifier [5].
Cognis patented a 50/50 mixture of two of its oximes (the nonylsalicylaldoxime and the acetophenoneoxime) [6] and called it Lix 984N (or just Lix 984 when the R group is C12H25). The aldoxime component heightens copper extraction from the PLS. In stripping, the ketoxime strips more easily, but then associates with the aldoxime, making the aldoxime copper complex more easily stripped than the aldoxime alone. Hence the ketoxime is acting as a modifier for the aldoxime [7][8].
While modifiers can be helpful, they can also pose some problems (the ketoxime-aldoxime mixtures are an exception). Examples include increased entrainment, crud formation and increased rates of oxime chemical degradation under some circumstances. (Crud is a term for a mixture of fine solids, aqueous solution and organic solution. It segregates form the aqueous and organic phases and can cause problems in SX and EW.)
Selectivity
Selectivity is the extent of extraction of one metal ion compared to another. The more selective a reagent is for copper, the less it extracts other metal ions. The selectivity for copper over various metal ions as a function of pH is illustrated for the ketoxime reagent Lix 84-I (A = CH3; R = C9H19) in a hydrocarbon diluent (e.g. kerosene) in Figure 3.3. Each plot is called an isotherm. In this case they are equilibrium organic metal ion concentrations versus pH. The pH is that of the aqueous solution at equilibrium, once extraction has reached equilibrium. (Isotherms may also be plotted as concentrations of metal ions in one phase versus the concentration in the other.) Plots such as these can be used to determine an SX reagent’s extraction behaviour as a function of pH. Note the following features:

- Copper is even extracted at the lowest pH. Acidic leach solutions at pH >1 can be moderately to strongly extracted with this reagent. (For practical purposes this reagent is used at pH closer to 2 than 1.) Of the metal ions shown, copper is by far the most strongly extracted at a given pH. Further, the extraction of copper with respect to pH is within the range of typical copper leach solutions pH.
- Among the common metal ions ferric ion is the next nearest competitor for the oxime reagent. It does not start to extract significantly unless the pH is >1.7. (Note that the ferric curve is shorter; ferric begins to hydrolyze strongly as pH rises precipitation occurs around pH 2 when present at 1 g/L.)
- As the pH rises, copper extraction increases, but then Fe+3 extraction will also start to increase.
- Nickel, cobalt and zinc do not extract unless the pH exceeds 3.5. Fe+2 extraction (not shown) is also quite weak.
Note that the isotherms start to level out at high loading. They are starting to approach saturation (little free organic reagent is left uncomplexed). (The iron curve does not show this because the test was not extended to higher pH where the added complications of ferric ion hydrolysis and precipitation occur.) As copper extraction approaches its limit and iron extraction continues to increase, the selectivity for copper over iron will decrease.
Typically iron(III) is the only other metal ion that is modestly co-extracted with copper in copper SX. Iron is the most abundant transition metal in the earth’s crust and virtually ubiquitous in the earth's crusts. (Molybdate can also be extracted moderately strongly [9], but it is rare and not commonly present at high concentrations in copper leach solutions.) Only iron(III), i.e. ferric ion is extracted, not iron (II), i.e. ferrous ion. One possible extraction reaction for ferric ion is shown below. (Others also involving anions like Cl- and NO3-, may occur as well.)
\[\ce{3RH_{(org)} + Fe^{3+}_{(aq)} <=> FeR3_{(org)} + 3H+_{(aq)}} \tag{6}\]
We can write a distribution coefficient for ferric ion loading as well:
\[\ce{D_{Fe} = \frac{[Fe^{3+}]_{org}}{[Fe^{3+}]_{aq}}} \tag{7}\]
The ratio of DCu/DFe is a measure of the relative extractions of copper compared with iron, under a given set of conditions. The greater this ratio is, the more selective the reagent is for copper over iron. We can express this as the selectivity coefficient for copper over iron:
\[\ce{S_{Cu/Fe} = \frac{D_{Cu}}{D_{Fe}}} \tag{8}\]
For instance, if SCu/Fe is 1000:1 for a particular extractant under a given set of conditions, it means that it will extract 1000 times as much copper as iron. Selectivities may be expressed equivalently in g/L or mol/L concentration units.
Ideally, we would like this ratio to be high in order to maximize copper extraction, while minimizing iron extraction. Distribution coefficients, and thereby selectivity coefficients can be strongly influenced by several factors. Some of the main ones include:
- Relative concentrations of copper and iron in the PLS. High iron (as Fe+3!) will decrease selectivity[10]. When the Cu:Fe concentration ratio in the PLS <1, this factor has the dominant effect on selectivity. (SX is carried out in stages, and in each successive stage the copper concentration decreases. This also affects selectivity.)
- PLS pH. The pH will affect the extractant’s affinity for copper and iron to differing degrees[11]. (In each successive stage of SX extraction the pH drops, as copper is extracted, as per reaction (2), and this may affect selectivity as well.) When the PLS Cu:Fe ratio >1, pH has the biggest effect on selectivity.
- The extractant itself. The commercially available aldoximes probably have higher intrinsic selectivity than the ketoximes. For the aldoximes selectivities
of up to 2500:1 are claimed. However, all modern hydroxyl oxime SX reagents have excellent Cu:Fe selectivity [12]. - Duration of the extraction process. Under some conditions iron may extract slowly, whereas copper extraction is somewhat more rapid. The rate of Fe(III) extraction may depend strongly on impurities in the PLS (Kordosky 2009).
- Extent of copper loading on the extractant. In practice, extractants are never loaded to their maximum capacity. As will be seen later, this would be highly impractical and cost-ineffective. The more of the extractant that is not used for copper loading, the more capacity there is left to extract ferric ion, i.e. the higher the free [RH], and the more iron that can be taken up[13].
- High concentrations of chloride in leach solutions are not commonplace, but it does occur in some plants. Chloride is not extracted by the oximes. However, chloride seems to be co-extracted with iron, and both iron and chloride can enhance each other’s extraction. It has been found that chloride extraction rises linearly with iron extraction, and with reagent concentration [14]. Both facts argue for a chemical extraction mechanism. It is plausible that the neutral (hence extractable) complex [FeR2Cl(H2O)] forms, allowing both Fe+3 and Cl- to be co-extracted. This might also form more rapidly than the FeR3 complex.
- Finally, it turns out that some iron and chloride (though not at the same concentrations) in the EW electrolyte are actually quite beneficial, and if they are missing, the quality of the copper cathode product can be compromised. Hence complete selectivity is not desirable.
Selectivity is a matter of competition between copper and iron for the extractant. Both thermodynamic and kinetic factors influence it, and the interplay of these factors can be quite complex. As noted previously, the actual selectivity for a real PLS solution will depend on many factors. In the end, laboratory and field testing are required to establish the actual selectivity.
Diluent
The oxime extractants are dissolved in hydrocarbon diluents. Since the extent of extraction is proportional to the oxime concentration, a suitable solvent is needed to dilute it. Both the oxime and the diluents are chosen so as to be only very slightly soluble in water, otherwise they would be lost to the raffinate in extraction and to the electrolyte in stripping. It is important that the diluents be relatively involatile, both to minimize fire hazard (flashpoint >66°C (Merigold 1996)) and evaporative losses. They should also be relatively non-toxic, both to people and to aquatic organisms. Commercial diluents are petroleum distillates with a specified boiling range. Good quality SX diluents are moderately refined kerosene; they are hydrogenated (treated with H2) in order to saturate reactive olefin bonds (double bonds) (Davenport 2002). This enhances their stability.
Most copper SX diluents are substantially similar. They contain C8-C20 hydrocarbons and mainly C12-C16 [15]. General classes of compounds include ~40% paraffins, ~40% naphthenes (cyclic paraffins) and ~20% aromatics (Davenport 2002). Some diluents are treated to remove aromatic compounds (down to ~0.5%) (Kordosky 2009). The aromatic content of the diluents can have an impact on the oxime’s extraction properties (Kordosky 2009). Certain impurities may be better extracted by diluents with aromatic content. Copper is somewhat more weakly extracted by the oximes in diluents with high aromatic content. On the other hand, selectivity for copper over iron is enhanced by the aromatic compounds in the normal diluents. In this regard the aromatic compounds are acting somewhat like modifiers. Aromatic components contain derivatives of the 6-membered carbon ring of benzene. They are more toxic than aliphatic hydrocarbons and for that reason alone are less to be preferred.
Extraction and Stripping Isotherms
The pH isotherms discussed above provide one means of assessing the selectivity of an extractant. However, what is needed in order to design a solvent extraction process are extraction and stripping curves. These are equilibrium plots of copper metal ion concentration in one phase versus metal ion concentration in the other. Examples of extraction and stripping curves are shown in Figure 3.4 and Figure 3.5.
Curves like this are very important. The extraction curve shows how much copper can be transferred into the organic phase for a given amount left in the aqueous solution, at equilibrium. We start with a particular composition PLS solution. Based on reaction (2) the pH drops as copper extraction increases, and the organic reagent concentration drops likewise. With less reagent and more acid, as extraction increases the organic copper concentration starts to level off. Viewed another way, the reagent's maximum capacity for copper is finite and equal to half it’s concentration in mol/L (based on the 2:1 RH:Cu stoichiometry.) As this limit is approached, higher and higher aqueous copper concentrations are needed to drive a little more copper onto the reagent, and into the organic phase. As the reagent
![Graph of copper solvent extraction equilibrium: aqueous [Cu] (0–2 g/L) on x‑axis versus organic [Cu] (0–4 g/L) on y‑axis, showing data points and a fitted curve with saturation behavior as aqueous concentration increases.](https://pressbooks.bccampus.ca/hydrometallurgy/wp-content/uploads/sites/1991/2025/10/Ch6_F6_Copper_Loading_Isotherm_in_Kerosene.png)
approaches saturation asymptotically the curve flattens out. Also then, the distribution coefficient decreases steadily as organic copper concentration increases. (To determine these isotherms one could imagine adding CuSO4 to the mixture to increase the aqueous [Cu+2], or having a range of CuSO4 solutions contacted with the organic, or differing relative volumes of a given CuSO4 solution and organic solution in contact with each other.) Note some important features of the extraction curve:
- Note that what is plotted is organic [Cu+2] versus aqueous [Cu+2].
- Extraction is quite strong at first and gradually lessens; the slope of the curve (which is the distribution coefficient) decreases with increasing extraction.
- Moderately high organic copper concentrations can be achieved with moderately low equilibrium aqueous copper concentrations.
- Strong extraction is a good thing. It means we can effectively recover copper from the PLS.
There are some important features to note about the stripping curve:
- Note that aqueous (electrolyte) [Cu+2] is plotted versus organic [Cu+2]!
- Stripping (reaction 3) is simply the reverse reaction of extraction in copper SX. (This is not necessarily true in all SX systems, though it is desirable.)
- Due to the high acid concentration in the aqueous strip solution, high levels of copper can be maintained in the strip aqueous solution at moderately low remaining (equilibrium) organic copper concentrations. This is good because it is important that we be able to recover much of the copper from the organic phase, in order to electrowin it. (Electrowinning requires high copper concentration and tolerates high acid levels.)
- The stripping curve is quite steep, meaning that we can significantly increase the aqueous copper concentration for a modest change in organic copper concentration. Note that in this case
- According to reaction (3), as the aqueous copper concentration increases, the acid concentration in the aqueous solution decreases (some of the aqueous acid is being used to regenerate RH; in CuR2 it is formally present as R-).
![Graph of copper concentrations: organic [Cu] (0.9–2.9 g/L) on x‑axis versus aqueous electrolyte [Cu] (25–50 g/L) on y‑axis, with blue diamond data points and fitted curve showing positive correlation.](https://pressbooks.bccampus.ca/hydrometallurgy/wp-content/uploads/sites/1991/2025/10/Ch6_F7_Copper_Stripping_Isotherm_in_Kerosene.png)
Considering reaction (2), it can be seen that the more strongly the reagent extracts copper, the more difficult it will be to strip (i.e. will require higher acid concentrations). Hence a balance is needed. Ideally we want a moderately strong extractant for any particular PLS. This will load copper fairly strongly, and moderately strong acid solutions will be able to strip it fairly well. This is illustrated schematically in Figure 3.6 and Figure 3.7. The former shows four extraction curves. The very strong extractant’s curve climbs steeply. It will strongly extract metal ion to high concentrations even at low equilibrium aqueous levels, and approach saturation rapidly. It is too strong and will be very difficult to strip. A moderate strength extractant (2) is preferable. An extractant that has about the same affinity for the metal ion as the aqueous phase corresponds to curve (3). This is usable, but not preferable. The lower curve (4) is for a very weak extractant. It has a low affinity for the metal ion, so we would recover very little of it from a PLS. (To get an appreciable organic metal ion concentration we would need to have very high equilibrium aqueous metal ion concentrations left over.) Conversely, the loaded organic would be very easy to strip, but that would do us little good, since there would not be much metal in the organic anyway. If we had quite a high concentration of such a weak extractant, we might get appreciable extraction of the metal ion from the PLS (higher [RH] in 1 drives the reaction farther to the right; Le Chatelier’s principle). But, we would utilize only a small fraction of the extractant’s total capacity. Extractants are expensive and having a lot of if it in an SX circuit, not being used, would not be cost-effective.

![Graph of aqueous [Cu²⁺] (30–50 g/L) versus organic [Cu²⁺] (0–3 g/L), showing four diagonal lines. Arrow labeled 'Higher Acid Concentration' points upward to the right, indicating increasing acid concentration shifts the lines.](https://pressbooks.bccampus.ca/hydrometallurgy/wp-content/uploads/sites/1991/2025/10/Ch6_F9_Varying_Acid_Conc.png)
In Figure 3.7 a hypothetical copper-loaded hydroxyoxime solution is stripped with four different solutions, each containing the same level of copper (initially) and varying H2SO4 concentrations. What the figure illustrates is that as acid concentration increases the stripping curve shifts to the left and becomes steeper. Both effects mean that at a given equilibrium aqueous copper concentration, the equilibrium organic copper concentration left over will be lower. Stripping will be more effective. However, there is a limit to how high the acid concentration can go in electrowinning. When too high the solution becomes more corrosive and the quality of the cathode copper product may become poorer, to name just two issues. Typical lean electrolyte acid concentrations are around 180 g/L (Kordosky 2003).
Summary of Isotherms
Extraction and stripping isotherms need to be experimentally determined for a representative sample of the PLS, with a suitable organic reagent formulations. Likewise, stripping isotherms need to be determined experimentally for the loaded organic and representative lean electrolyte solutions. Effects of impurities need to be checked. Suppliers of SX reagents work closely with companies in the planning and implementation of SX processes. Some of the main variables to consider are:
- PLS composition ([Cu+2], pH, [Fe+3] and concentrations of other impurities).
- PLS total sulfate (affects buffering capability around pH 2).
- PLS temperature (affects extraction isotherms).
- The organic reagent to use.
- Reagent concentration.
- Electrowinning rich electrolyte copper and acid concentration.
- Electrowinning lean electrolyte copper and acid concentration. (Both of these can be varied to a limited degree.)
Software for modeling the extraction and stripping behaviour that can be anticipated for an extractant and expected conditions exists[16]. Choosing a suitable extractant and concentration is an important early step in the design process.
Chemical Flows in Leach-SX-EW
Consider the diagram in Figure 1.1. There are three, inter-connected, closed loops. The first is the PLS-raffinate aqueous stream. Copper transfers from the PLS to the organic phase. The raffinate returns to leaching to pick up more copper. The loaded organic proceeds to stripping, and once copper is stripped the barren organic returns to extraction to pick up more copper. The lean electrolyte takes copper from the loaded organic and the rich electrolyte proceeds to EW. Finally, in EW copper metal is plated. Clearly the net flow of copper is from leaching through SX to EW and out as copper cathodes (metal). Likewise any co-extracted impurities.
What about the acid? Consider the various reactions in each section:
Electrowinning:
\[\ce{CuSO4_{\text{rich\;electrolyte}} + H2O -> Cu_{(s)} + H2SO4_{\text{lean\;electrolyte}} + \tfrac{1}{2}O2_{(g)}} \tag{9}\]
Stripping:
\[\ce{CuR2_{\text{loaded\;org}} + H2SO4_{\text{lean\;electrolyte}} -> CuSO4_{\text{rich\;electrolyte}} + H2O} \tag{10}\]
Extraction:
\[\ce{CuSO4_{\text{PLS}} + 2RH_{\text{barren\;org}} -> CuR2_{\text{loaded\;org}} + H2SO4_{\text{raffinate}}} \tag{11}\]
Acid generated in EW is transferred to the organic to regenerate RH, in stripping. Finally, in extraction this acid is transferred to the raffinate as H2SO4. The raffinate is returned to leaching. Hence acid flows from EW to leaching. The diagram below illustrates the elegance of the copper Leach-SX-EW process. In practice there are other flows needed as well, for genuinely closed loops inevitably cause problems with impurities build-up.
Media Attributions
- Ch6_F3_Aromatic_Hydroxy_Oxime_SX_Reagents © Bé Wassink and Amir M. Dehkoda is licensed under a CC BY-NC (Attribution NonCommercial) license
- Ch6_F4_Aromatic_Hydroxy_Oxime_Copper_Complex © Bé Wassink and Amir M. Dehkoda is licensed under a CC BY-NC (Attribution NonCommercial) license
- Ch6_F5_Lix84-I_Metal_Content_pH © Bé Wassink and Amir M. Dehkoda is licensed under a CC BY-NC (Attribution NonCommercial) license
- Ch6_F6_Copper_Loading_Isotherm_in_Kerosene © Bé Wassink and Amir M. Dehkoda is licensed under a CC BY-NC (Attribution NonCommercial) license
- Ch6_F7_Copper_Stripping_Isotherm_in_Kerosene © Bé Wassink and Amir M. Dehkoda is licensed under a CC BY-NC (Attribution NonCommercial) license
- Ch6_F8_Four_Extraction_Curves © Bé Wassink and Amir M. Dehkoda is licensed under a CC BY-NC (Attribution NonCommercial) license
- Ch6_F9_Varying_Acid_Conc © Bé Wassink and Amir M. Dehkoda adapted by Jeno Hwang is licensed under a CC BY-NC (Attribution NonCommercial) license
- F.A. Cotton and G. Wilkinson, Advanced Inorganic Chemistry, 3rd edn, 1972, p. 596. ↵
- M. Mackenzie, “The solvent extraction of some major metals. An overview,” Cognis Corp., 37 pp. Retrieved Feb. 25/09 at: http://www.cognis.com/NR/rdonlyres/62A4BDA0-2B5F-4579-9761-968114B57A2A/0/thesolve.pdf ↵
- G. Kordosky, “Copper SX circuit design and operation - current advances and future possibilities,” Presented at: ALTA 2003 Conference. Retrieved Feb. 18, 2009 at: http://www.cognis.com/NR/rdonlyres/543999B6-91A7-4819-A7FB-60692EE2AF5C/0/Alta_2003.pdf ↵
- G.A. Kordosky, R.B. Suddert and M.J. Virnig, “Evolutionary development of solvent extraction reagents: real-life experiences,” in Copper Leaching, Solvent Extraction, and Electrowinning Technology, G.V. Jergensen II, ed., Society for Mining, Metallurgy and Exploration, pp. 259-271. ↵
- G.A. Kordosky, R.B. Suddert and M.J. Virnig, “Evolutionary development of solvent extraction reagents: real-life experiences,” in Copper Leaching, Solvent Extraction, and Electrowinning Technology, G.V. Jergensen II, ed., Society for Mining, Metallurgy and Exploration, pp. 259-271. ↵
- Kordosky, G. A., Sudderth, R. B., & Virnig, M. J. (n.d.). Evolutionary development of solvent extraction reagents: Real-life experiences. In G. V. Jergensen II (Ed.), Copper leaching, solvent extraction, and electrowinning technology (pp. 259–271). Society for Mining, Metallurgy, and Exploration ↵
- Cognis Group, MCT Redbook. Solvent Extraction Reagents and Applications, 2007. Retrieved Feb. 21/09 at: http://www.cognis.com/NR/rdonlyres/7A687186-A305-4969-B6EA-0CF869930714/0/MCT_Redbook_English.pdf ↵
- M.S. Prasad, V.P. Kenyen and D.N. Assar, “Development of SX-EW process for copper recovery-an overview,” Mineral Processing and Extractive Metallurgy Review, 1992, vol. 8, pp. 95-118. ↵
- Cognis Group. (2007). MCT redbook: Solvent extraction reagents and applications. Cognis Corporation. ↵
- G.M. Miller, D.J. Readett and P. Hutchinson, “Experience in operating the Girilambone copper SX-EW plant in changing chemical environments,” Minerals Engineering, 1997, Vol. 10, No. 5, pp. 467-481. ↵
- G.M. Miller, D.J. Readett and P. Hutchinson, “Experience in operating the Girilambone copper SX-EW plant in changing chemical environments,” Minerals Engineering, 1997, Vol. 10, No. 5, pp. 467-481. ↵
- G. Kordosky, M. Virnig and M. Mackenzie, “Solvent extraction - reagents and selectivity control,” Cognis Corp. Retrieved Feb. 18, 2009 at: http://www.cognis.com/products/Business+Units/Mining+Chemicals/Literature/General+Publications/ ↵
- C.R. Merigold, Lix Reagent Solvent Extraction Plant Operating Manual, Cognis Corp., 2nd edn, 1996. Retrieved Feb. 18, 2009 at: http://www.cognis.com/NR/rdonlyres/97088921-AD31-461E-A120-9C2B791ACD26/0/lixsolve.pdf ↵
- P. Pekkala, R. Kuusisto, J. Lyyra, B. Nyman, E. Lindell and E. Ekman, “Solvent extraction – how to get over hard times,” Proceedings of the Copper 99 – Cobre 99 International Conference, S.K. Young, D.B. Dreisinger, R.P. Hackl and D.G. Dixon, eds., Phoenix AZ, Oct. 10-13, 1999, Vol. 4, pp. 305-318. ↵
- M.D. Bishop, L.A. Gray, M.G. Greene, K. Bauer, T.L. Young, J. May, K.E. Evans and I. Amerson-Treat, “Investigation of evaporative losses in solvent extraction circuits,” Proceedings of the Copper 99 – Cobre 99 International Conference, S.K. Young, D.B. Dreisinger, R.P. Hackl and D.G. Dixon, eds., Phoenix AZ, Oct. 10-13, 1999, Vol. 4, pp. 277-289. ↵
- G. Kordosky, M. Virnig and N. Boley, “Equilibrium copper strip points as a function of temperature and other operating parameters: implications for commercial copper solvent extraction plants,” Tsimghua Science and Technology, 2006, Vol. 11, No. 2 (April), pp 160-164. Retrieved Feb. 18/09 at: http://www.sciencedirect.com/science?_ob=MImg&_imagekey=B7RKT-4JK47RS-3-1&_cdi=25731&_user=1022551&_orig=search&_coverDate=04%2F30%2F2006&_sk=999889997&view=c&wchp=dGLbVlb-zSkWz&md5=7e6987b57f7b4a41e4fff9cbc6ca15bd&ie=/sdarticle.pdf ↵